Your Contoh proposal usaha singkat images are available. Contoh proposal usaha singkat are a topic that is being searched for and liked by netizens now. You can Find and Download the Contoh proposal usaha singkat files here. Find and Download all royalty-free photos.
If you’re looking for contoh proposal usaha singkat pictures information related to the contoh proposal usaha singkat keyword, you have pay a visit to the right blog. Our site always provides you with suggestions for seeing the highest quality video and picture content, please kindly surf and find more enlightening video articles and graphics that match your interests.
Contoh Proposal Usaha Singkat. Dengan menerapkan contoh proposal singkat Anda bisa menyusun pernyataan kepada pihak tertentu. Dimulai dengan contoh-contoh proposal toko grosir contoh proposal toko kerajinan contoh saran mencicipi bisnis contoh proposal penjualan contoh proposal batik contoh proposal alas kaki contoh proposal. Contoh Proposal Bantuan Dana Kegiatan. Proposal ini perlu dibuat saat Anda hendak melakukan kegiatan atau penelitian tertentu.
Contoh Proposal Usaha Singkat Dan Lengkap From toiletbisnis.com
3 Contoh Proposal Singkat Usaha Relawan dan Study Tour. Tujuan penyusunan proposal ini adalah untuk mendapatkan izin mendapatkan dukungan dan mendapatkan bantuan dana. Proposal usaha biasa digunakan dalam dunia bisnis seperti untuk pendirian usaha misalnya contoh proposal usaha kecil dan contoh proposal usaha makanan ringan. Contoh Proposal Usaha Singkat. Contoh Kesimpulan Proposal Usaha Makanan. Di era globalisasi ini kebanyakan orang menyukai hal-hal yang instan tidak terkecuali dengan makanan.
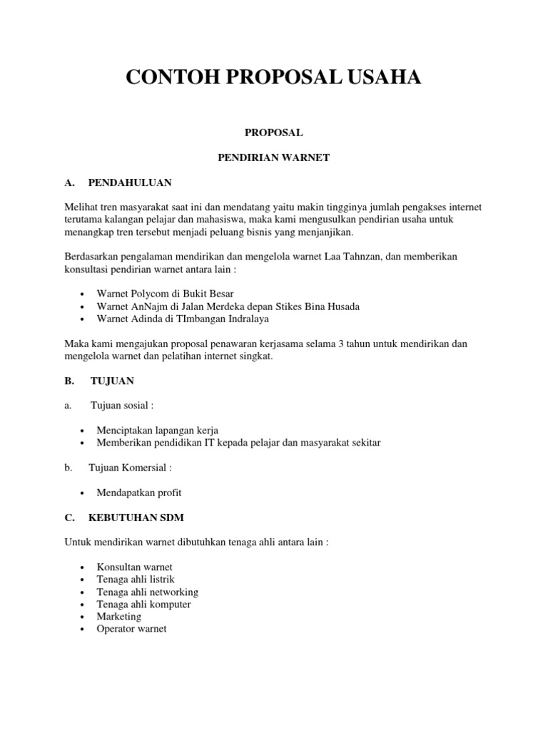
Pdf Contoh Proposal Usaha Toko Sembako Singkat 03 January 2020 Add Comment Edit.
Sedangkan untuk tujuannya proposal usaha dapat bermanfaat untuk menarik minat pembaca yang dalam hal ini adalah calon pemodal sehingga berkeingingan untuk menjalin kerjasama yang sesuai dengan tujuan pembuat proposal. Contoh proposal usaha di atas merupakan contoh proposal yang singkat namun terlihat profesional dimana di dalam contoh proposal usaha tersebut mencakup seluruh informasi seputar pendirian sebuah usaha. Proposal usaha biasa digunakan dalam dunia bisnis seperti untuk pendirian usaha misalnya contoh proposal usaha kecil dan contoh proposal usaha makanan ringan. Seiring dengan berjalannya waktu stuktur proposal usaha semakin simpel dan juga semakin praktis. Contoh proposal singkat usaha penelitian kegiatan dan proyek. Poin utama saat membuat proposal ini adalah membuatnya sejelas mungkin agar usaha tersebut terlihat meyakinkan.
Source: sarungpreneur.com
Contoh proposal usaha makanan Melalui poin-poin diatas pengusaha perlu menjelaskan mengenai apa saja yang dibutuhkan untuk membantu mereka dalam mendeskripsikan usaha mereka dalam proposal tersebut. Berikut ini merupakan Contoh Proposal Singkat padat jelas dan menarik. Pada umumnya peluang dan deskripsi bisnis menjadi pokok penting yang perlu dijelaskan dengan singkat dan jelas. Di era globalisasi ini kebanyakan orang menyukai hal-hal yang instan tidak terkecuali dengan makanan. Proposal merupakan sebuah sarana yang bisa anda gunakan untuk memperlancar proses permohonan anda.
Source: selasar.com
Bisnis kecil-kecilan berupa makanan ringan menjadi salah satu jenis bisnis yang tergolong mudah untuk dibuat sebab selain dengan modal. Contoh Proposal Bantuan Dana Kegiatan. Pdf Contoh Proposal Usaha Toko Sembako Singkat 03 January 2020 Add Comment Edit. Proposal ini perlu dibuat saat Anda hendak melakukan kegiatan atau penelitian tertentu. Proposal usaha akan sangat membantu Anda dalam mengambangkan bisnis yang sedang Anda lakukan.
Source: 123dok.com
Contoh proposal usaha makanan ringan ini kami buat sesingkat mungkin tapi cukup untuk meyakinkan investor. Sedangkan untuk tujuannya proposal usaha dapat bermanfaat untuk menarik minat pembaca yang dalam hal ini adalah calon pemodal sehingga berkeingingan untuk menjalin kerjasama yang sesuai dengan tujuan pembuat proposal. Contoh proposal usaha makanan khas daerah. Contoh Proposal Usaha Bengkel Mobil Singkat. Dimulai dengan contoh-contoh proposal toko grosir contoh proposal toko kerajinan contoh saran mencicipi bisnis contoh proposal penjualan contoh proposal batik contoh proposal alas kaki contoh proposal.
Source: toiletbisnis.com
Proposal ini perlu dibuat saat Anda hendak melakukan kegiatan atau penelitian tertentu. Proposal ini perlu dibuat saat Anda hendak melakukan kegiatan atau penelitian tertentu. USAHA MEMBUAT KRIPIK TALAS. Cover contoh proposal usaha cafe Bagian Ringkasan Eksekutif Ringkasan eksekutif adalah bagian dimana anda memberikan penjelasan secara singkat kepada pembaca proposal usaha anda mengenai hal-hal terpenting yang perlu diketahui oleh pembaca untuk mengambil suatu keputusan. Ini bisa menjadi salah satu solusi atas permasalahan Anda khususnya dalam rangka mencari modal usaha.
Source: bisnis-apaya.com
3 Contoh Proposal Singkat Usaha Relawan dan Study Tour. Hal inilah yang merupakan salah satu dampak menurunkan kualitas makanan. Ini bisa menjadi salah satu solusi atas permasalahan Anda khususnya dalam rangka mencari modal usaha. Proposal ini perlu dibuat saat Anda hendak melakukan kegiatan atau penelitian tertentu. Dari masakan padang sunda jawa dan lainnya.
Source: slideshare.net
Proposal usaha juga bisa digunakan untuk pengajuan kerja sama antara satu perusahaan dengan perusahaan lain. Dari masakan padang sunda jawa dan lainnya. Seiring dengan berjalannya waktu stuktur proposal usaha semakin simpel dan juga semakin praktis. Contoh proposal singkat usaha penelitian kegiatan dan proyek. Contoh proposal usaha di atas dapat anda tiru untuk membuat proposal anda sendiri usahakan penulisannya ter-struktur dan mudah di baca.
Source: sambastani.blogspot.com
Contoh Proposal Usaha Singkat. USAHA MEMBUAT KRIPIK TALAS. Pdf Contoh Proposal Usaha Toko Sembako Singkat 03 January 2020 Add Comment Edit. 51 kesimpulan bobico merupakan brand produk yang di ciptakan oleh penulis dalam bidang ini. Contoh Proposal Usaha Singkat.
Source: mojokbisnis.com
Sedangkan untuk tujuannya proposal usaha dapat bermanfaat untuk menarik minat pembaca yang dalam hal ini adalah calon pemodal sehingga berkeingingan untuk menjalin kerjasama yang sesuai dengan tujuan pembuat proposal. Dengan menerapkan contoh proposal singkat Anda bisa menyusun pernyataan kepada pihak tertentu. Contoh Proposal Kegiatan Pentas Seni 17 Agustus. Hal inilah yang merupakan salah satu dampak menurunkan kualitas makanan. Contoh proposal usaha makanan khas daerah.
Source: dicontoh.com
Tujuan penyusunan proposal ini adalah untuk mendapatkan izin mendapatkan dukungan dan mendapatkan bantuan dana. MEMBUKA USAHA MEMBUAT KRIPIK TALAS LATAR BELAKANG. Contoh proposal usaha makanan Melalui poin-poin diatas pengusaha perlu menjelaskan mengenai apa saja yang dibutuhkan untuk membantu mereka dalam mendeskripsikan usaha mereka dalam proposal tersebut. Dimulai dengan contoh-contoh proposal toko grosir contoh proposal toko kerajinan contoh saran mencicipi bisnis contoh proposal penjualan contoh proposal batik contoh proposal alas kaki contoh proposal. Bisnis kecil-kecilan berupa makanan ringan menjadi salah satu jenis bisnis yang tergolong mudah untuk dibuat sebab selain dengan modal.
Source: 123dok.com
Proposal merupakan sebuah sarana yang bisa anda gunakan untuk memperlancar proses permohonan anda. Contoh Proposal Bantuan Dana Kegiatan. Dimulai dengan contoh-contoh proposal toko grosir contoh proposal toko kerajinan contoh saran mencicipi bisnis contoh proposal penjualan contoh proposal batik contoh proposal alas kaki contoh proposal. Contoh proposal singkat usaha penelitian kegiatan dan proyek. Berikut gambar-gambar mengenai Contoh Proposal Usaha Bengkel Mobil Singkat.
Source: 123dok.com
Cover contoh proposal usaha cafe Bagian Ringkasan Eksekutif Ringkasan eksekutif adalah bagian dimana anda memberikan penjelasan secara singkat kepada pembaca proposal usaha anda mengenai hal-hal terpenting yang perlu diketahui oleh pembaca untuk mengambil suatu keputusan. Contoh Proposal Usaha Singkat. Permohonan bisa bermacam-macam mulai dana keperluan tertentu rencana usaha dan lain-lain. Proposal usaha dagang sembako merupakan proposal yang disusun untuk menjelaskan sebuah kegiatan usaha dagang seseorang dalam bentuk toko yang. Proposal Usaha Dagang Sembako Pada artikel kali ini akan dibahas tentang contoh proposal usaha dagang sembako.
Source: slideshare.net
Proposal usaha dagang sembako merupakan proposal yang disusun untuk menjelaskan sebuah kegiatan usaha dagang seseorang dalam bentuk toko yang. Ini bisa menjadi salah satu solusi atas permasalahan Anda khususnya dalam rangka mencari modal usaha. Contoh proposal usaha makanan ringan ini kami buat sesingkat mungkin tapi cukup untuk meyakinkan investor. Dimulai dengan contoh-contoh proposal toko grosir contoh proposal toko kerajinan contoh saran mencicipi bisnis contoh proposal penjualan contoh proposal batik contoh proposal alas kaki contoh proposal. MEMBUKA USAHA MEMBUAT KRIPIK TALAS LATAR BELAKANG.
Source: mojokbisnis.com
Ini bisa menjadi salah satu solusi atas permasalahan Anda khususnya dalam rangka mencari modal usaha. Contoh proposal usaha di atas merupakan contoh proposal yang singkat namun terlihat profesional dimana di dalam contoh proposal usaha tersebut mencakup seluruh informasi seputar pendirian sebuah usaha. 3 Contoh Proposal Singkat Usaha Relawan dan Study Tour. Proposal merupakan sebuah sarana yang bisa anda gunakan untuk memperlancar proses permohonan anda. Contoh proposal singkat usaha penelitian kegiatan dan proyek.
Source: drive.google.com
Berikut gambar-gambar mengenai Contoh Proposal Usaha Bengkel Mobil Singkat. Antara proposal kegiatan dengan proposal penelitian. Berikut ini adalah contoh proposal usaha yang baik dan benar. Bisnis kecil-kecilan berupa makanan ringan menjadi salah satu jenis bisnis yang tergolong mudah untuk dibuat sebab selain dengan modal. Berikut gambar-gambar mengenai Contoh Proposal Usaha Bengkel Mobil Singkat.
Source: id.scribd.com
Bisnis kecil-kecilan berupa makanan ringan menjadi salah satu jenis bisnis yang tergolong mudah untuk dibuat sebab selain dengan modal. Contoh Proposal Singkat Proposal sangat Anda butuhkan ketika ingin mengadakan atau mengikuti sebuah kegiatan yang membutuhkan perizinan atau dukungan sponsor supaya dapat terlaksana. Contoh proposal usaha di atas dapat anda tiru untuk membuat proposal anda sendiri usahakan penulisannya ter-struktur dan mudah di baca. Hal inilah yang merupakan salah satu dampak menurunkan kualitas makanan. Dari masakan padang sunda jawa dan lainnya.
Source: id.scribd.com
Pdf Contoh Proposal Usaha Toko Sembako Singkat 03 January 2020 Add Comment Edit. Proposal usaha juga bisa digunakan untuk pengajuan kerja sama antara satu perusahaan dengan perusahaan lain. Permohonan bisa bermacam-macam mulai dana keperluan tertentu rencana usaha dan lain-lain. Proposal Usaha Dagang Sembako Pada artikel kali ini akan dibahas tentang contoh proposal usaha dagang sembako. Contoh Proposal Singkat Terbaru Proposal merupakan rencana kegiatan yang didalamnya berisikan rancangan kerja.
Source: mojokbisnis.com
Ini bisa menjadi salah satu solusi atas permasalahan Anda khususnya dalam rangka mencari modal usaha. Berikut gambar-gambar mengenai Contoh Proposal Usaha Bengkel Mobil Singkat. Sama dengan cita rasa asli khas korea selatan. Contoh proposal usaha makanan khas daerah. Proposal usaha akan sangat membantu Anda dalam mengambangkan bisnis yang sedang Anda lakukan.
Source: pandaibesi.com
Proposal usaha biasa digunakan dalam dunia bisnis seperti untuk pendirian usaha misalnya contoh proposal usaha kecil dan contoh proposal usaha makanan ringan. Contoh proposal singkat usaha penelitian kegiatan dan proyek. 4 Contoh Proposal Usaha Makanan Singkat Padat Jelas WhatsApp Pin It Telegram contoh proposal usaha makanan Bisnis di bidang kuliner seolah tidak akan habisnya untuk dikembangkan karena selalu saja ada inovasi di dalamnya. Dengan menerapkan contoh proposal singkat Anda bisa menyusun pernyataan kepada pihak tertentu. Proposal usaha juga bisa digunakan untuk pengajuan kerja sama antara satu perusahaan dengan perusahaan lain.
This site is an open community for users to do sharing their favorite wallpapers on the internet, all images or pictures in this website are for personal wallpaper use only, it is stricly prohibited to use this wallpaper for commercial purposes, if you are the author and find this image is shared without your permission, please kindly raise a DMCA report to Us.
If you find this site helpful, please support us by sharing this posts to your own social media accounts like Facebook, Instagram and so on or you can also save this blog page with the title contoh proposal usaha singkat by using Ctrl + D for devices a laptop with a Windows operating system or Command + D for laptops with an Apple operating system. If you use a smartphone, you can also use the drawer menu of the browser you are using. Whether it’s a Windows, Mac, iOS or Android operating system, you will still be able to bookmark this website.




